Answers to Some Multiple Choice problems for MA 16200, Spring 2013
Chapter 12 Section 1, Three-dimensional Coordinate Systems

1. C


Chapter 12 Section 2, Vectors

2. E


Chapter 12 Section 3, Dot product

3. B


Chapter 12 Section 4, Cross product

4. C


Chapter 6 Section 1, Areas between curves

5. A


Chapter 6 Section 2, Volumes by cross section

6. D


Chapter 6 Section 3, Volumes by cylindrical shells

7. B


Chapter 6 Section 4, Work

8. D


Chapter 7 Section 1, Integration by parts

9. D


Chapter 7 Section 2, Trig Integrals

10. E


Chapter 7 Section 3, Trig Substitution

11. A


Chapter 7 Section 3, Trig Substitution

12. B


Chapter 7 Section 4, Partial Fractions

13. C


Chapter 7 Section 4, Partial Fractions

14. E


Chapter 7 Section 6, Integration Using Tables

15. A


Chapter 7 Section 7, Approximate Integration

15.1. D


Chapter 7 Section 8, Improper Integrals

16. E


Chapter 8 Section 1, Arc Length

17. C


Chapter 8 Section 2, Area of a Surface of Revolution

17.1 B


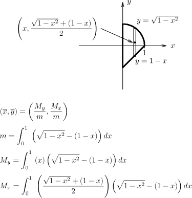
Chapter 8 Section 3, Moments and Center of Mass

18. D


Chapter 11 Section 1, Sequences

19. A


Chapter 11 Section 2, Series

20. C


Chapter 11 Section 3, the Integral Test

21. A


Chapter 11 Section 4, the Comparison Tests

22. D


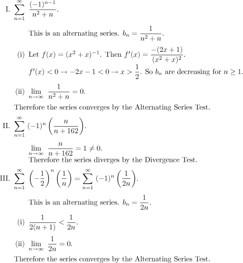
Chapter 11 Section 5, Alternating Series

23. B


Chapter 11 Section 5, Alternating Series

23.1 C


Chapter 11 Section 6, Absolute convergence, Ratio and Root Tests

24. E


Chapter 11 Section 7, Strategy for testing series

25. D


Chapter 11 Section 8, Power Series

26. A


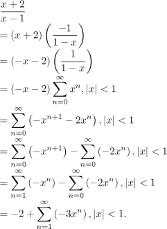
Chapter 11 Section 9, Representation of functions as power series

27. B


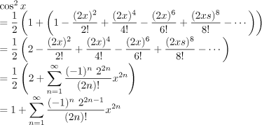
Chapter 11 Section 10, Taylor and Maclaurin Series

29. E